
一、研究背景
在超宽带隙半导体领域,研究者们正致力于开发具有超高增益的深紫外(DUV)光电探测器,以期达到与光电倍增管(PMT)相媲美的性能。这些探测器对于200-280纳米波长范围内的日盲检测和通信至关重要,因为它们能够提供高灵敏度、高速度、高光谱选择性、高信噪比和高稳定性。然而,现有的基于超宽带隙半导体的探测器,如AlGaN和Ga2O3,面临着高工作电压、高晶格缺陷密度、相偏析问题以及对磁场敏感性等挑战,限制了它们在性能上的进一步发展。
金刚石作为一种具有超宽带隙、高热导率、化学惰性、高绝缘性和辐射抗性的材料,被认为是制造DUV光电探测器的理想候选材料。金刚石基光电探测器的发展已经取得了一定的进展,但灵敏度和整体性能仍需进一步提升,以满足实际应用的需求。研究者们正在探索通过表面状态和深层缺陷的协同效应,实现在低电压下工作的超高增益DUV光电探测器,以期解决单片集成的挑战,并推动与集成电路兼容的DUV探测器技术的发展。
二、研究进展
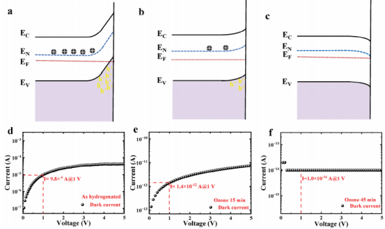
日本国立材料研究所廖梅勇团队证明了利用Ib型单晶金刚石(SCD)衬底表面态和深层缺陷的协同效应,可以实现低工作电压(<5 V)的超高增益DUV光电探测器(PD)。金刚石DUV- PD的整体光响应,如灵敏度、暗电流、光谱选择性和响应速度,可以通过SCD衬底表面的氢或氧终止来简单地定制。在220 nm光下,DUV响应率和外量子效率分别超过2.5 × 104A/W和1.4 × 107%,与PMT相当。DUV/可见光抑制比(R220 nm/R400 nm)高达6.7 × 105。深氮缺陷耗尽二维空穴气体提供了低暗电流,在DUV照射下电离氮的填充产生了巨大的光电流。表面态和本体深度缺陷的协同效应为开发与集成电路兼容的DUV探测器开辟了道路。
三、图文简介
图1 能带图和表面电导率。
图2 光电探测器在暗光和DUV光下的I-V特性。
图3 光响应特性与氧化时间的关系。
图4 光子晶体的时变光响应。原文链接:https://doi.org/10.1002/adfm.202420238.
重要通知:2025年4月23-25日,九峰山论坛将在武汉光谷科技会展中心再次启航,现诚挚邀请全球化合物半导体技术领域的专家学者、行业领航者及创新先锋莅临盛会,发表精彩演讲!目前招展火热进行中,好位置先到先得!~点击上图了解详情
(转自:第三代半导体产业)