炒股就看金麒麟分析师研报,权威,专业,及时,全面,助您挖掘潜力主题机会!
(来源:机器之心Pro)

本文作者杨磊,目前在大模型初创公司阶跃星辰担任后训练算法工程师,其研究领域包括生成模型和语言模型后训练。在这之前,他曾在旷视科技担任了六年的计算机视觉算法工程师,从事三维视觉、数据合成等方向。他于 2018 年本科毕业于北京化工大学。
当前,主流的基础生成模型大概有五大类,分别是 :Energy-Based Models (Diffusion)、GAN、Autoregressive、VAE 和 Flow-Based Models。
本项工作提出了一种全新的生成模型:离散分布网络(Discrete Distribution Networks),简称 DDN。相关论文已发表于 ICLR 2025。
DDN 采用一种简洁且独特的机制来建模目标分布:
1.在单次前向传播中,DDN 会同时生成 K 个输出(而非单一输出)。
2.这些输出共同构成一个包含 K 个等权重(概率均为 1/K)样本点的离散分布,这也是“离散分布网络”名称的由来。
3.训练目标是通过优化样本点的位置,使网络输出的离散分布尽可能逼近训练数据的真实分布。
每一类生成模型都有其独特的性质,DDN 也不例外。本文将重点介绍 DDN 的三个特性:

离散分布网络原理
图1: DDN 的重建过程示意图首先,借助上图所示的 DDN 重建流程作为切入点来一窥其原理。与 diffusion 和 GAN 不同,它们无法重建数据,DDN 能像 VAE 一样具有数据重建能力:先将数据映射为 latent ,再由 latent 生成与原始图像高度相似的重建图像。
上图展示了 DDN 重建 target 并获得其 latent 的过程。一般 DDN 内部包含多个层级结构,其层数为 L,示意图里 L=3。但先让我们把目光集中在最左侧的第一层。
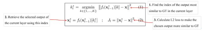
离散分布:正如上文所言,DDN 的核心思想在于让网络同时生成 K 个输出,从而表示“网络输出了一个离散分布”。因此每一层 DDN 都有 K 个 outputs,即一次性输出 K 张不同的图像,示意图中 K=3。每个 output 都代表了这个离散分布中的一个样本点,每个样本点的概率质量相等,均为 1/K。
层次化生成:最终目标是让这个离散分布 (K 个 outputs),和目标分布(训练集)越接近越好,显然,单靠第一层的 K 个 outputs 无法清晰地刻画整个 MNIST 数据集。第一层获得的 K 张图像更像是将 MNIST 聚为 K 类后得到的平均图像。因此,我们引入“层次化生成”设计以获得更加清晰的图像。

接着,从第二层的 outputs 中继续选择出和 target 最相似的一张作为第三层的 condition,并重复上述过程。随着层数增加,生成的图像和 target 会越来越相似,最终完成对 target 的重建。
Latent:这一路选下来,每一层被选中 output 的 index 就组成了 target 的 latent(图中绿色部分“3-1-2”)。因此 latent 是一个长度为 L, 取值范围 [1,K] 的整数数组。

网络结构
将“重建过程示意图”进一步细化,就有下图 (a) 的网络结构图:
DDN 网络结构示意图和支持的两种网络结构形式在图 (a) 中,把生成相关的设计整合为 Discrete Distribution Layer (DDL), 把仅提供基础计算的模块封装为了 NN Block,并重点展示训练时 DDL 内部的数据流。主要关注以下几点:

右侧的 (b)、 (c) 两图分别展示了 DDN 支持的两种网络结构形式:

出于计算效率考虑,DDN 默认采用具有 coarse-to-fine 特性的 single shot generator 形式。
损失函数



此外,本文还提出了 Split-and-Prune 优化算法来使得训练时每个节点被 GT 匹配上的概率均匀,都是 1/K。
下图展示了 DDN 做二维概率密度估计的优化过程:

左:生成样本集;右:概率密度GT
实验与特性展示
随机采样效果展示

在人脸数据集上的随机采样效果
更通用的零样本条件生成
先描述一下“零样本条件生成”(Zero-Shot Conditional Generation, ZSCG)这个任务:

用 Unconditional DDN 做零样本条件生成效果:DDN 能在不需要梯度的情况下,使不同模态的 Condition (比如 text prompt 加 CLIP) 来引导 Unconditional trained DDN 做条件生成。黄色框圈起来部分就是用于参考的 GT。SR 代表超分辨率、ST 代表 Style Transfer。
如上图所示,DDN 支持丰富的零样本条件生成任务,其做法和图 1 中的 DDN 重建过程几乎一样。
具体而言,只需把图 1 中的 target 替换为对应的 condition,并且,把采样逻辑调整为从每一层的多个 outputs 中选出最符合当前 condition 的那一个 output 作为当前层的输出。这样随着层数的增加,生成的 output 越来越符合 condition。整个过程中不需要计算任何梯度,仅靠一个黑盒判别模型就能引导网络做零样本条件生成。DDN 是第一个支持如此特性的生成模型。
换为更专业的术语描述便是:
> DDN 是首个支持用纯粹判别模型引导采样过程的生成模型;
> 某种意义上促进了生成模型和判别模型的大一统。
这也意味着用户能够通过 DDN 高效地对整个分布空间进行筛选和操作。这个性质非常有趣,可玩性很高,个人感觉“零样本条件生成”将会得到广泛的应用。
Conditional Training
训练 conditional DDN 非常简单,只需要把 condition 或者 condition 的特征直接输入网络中,网络便自动学会了 P (X|Y)。
此外,conditional DDN 也可以和 ZSCG 结合以增强生成过程的可控性,下图的第四 / 五列就展示了以其它图像为 ZSCG 引导的情况下 conditional DDN 的生成效果。

Conditional-DDNs 做上色和边缘转 RGB 任务。第四、五列展示了以其它图像为引导的情况下,零样本条件生成的效果,生成的图像会在保证符合 condition 的情况下尽可能靠近 guided 图像的色调。
端到端可微分
DDN 生成的样本对产生该样本的计算图完全可微,使用标准链式法则就能对所有参数做端到端优化。这种梯度全链路畅通的性质,体现在了两个方面:
1.DDN 有个一脉相承的主干 feature,梯度能沿着主干 feature 高效反传。而 diffusion 在传递梯度时,需多次将梯度转换到带噪声的样本空间进行反传。
2.DDN 的采样过程不会阻断梯度,意味着网络中间生成的 outputs 也是完全可微的,不需要近似操作,也不会引入噪声。
理论上,在利用判别模型做 fine-tuning 的场景或着强化学习任务中,使用 DDN 作为生成模型能更高效地 fine-tuning。
独特的一维离散 latent
DDN 天然具有一维的离散 latent。由于每一层 outputs 都 condition on 前面所有的 results,所以其 latent space 是一个树状结构。树的度为 K,层数为 L,每一个叶子节点都对应一个 DDN 的采样结果。
DDN 的 latent 空间为树状结构,绿色路径展示了图 1 中的 target 所对应的 latent
Latent 可视化
为了可视化 latent 的结构,我们在 MNIST 上训练了一个 output level 层数 L=3,每一层 output nodes 数目 K=8 的 DDN,并以递归九宫格的形式来展示其 latent 的树形结构。九宫格的中心格子就是 condition,即上一层被采样到的 output,相邻的 8 个格子都代表基于中心格子为 condition 生成的 8 个新 outputs。

Hierarchical Generation Visualization of DDN
未来可能的研究方向